资讯中心

您所在位置: 魔域官网 > 资讯中心> 魔域公告

《魔域》10月15日、22日并服预告

发布时间:2025-09-29  人气指数:  关键字:

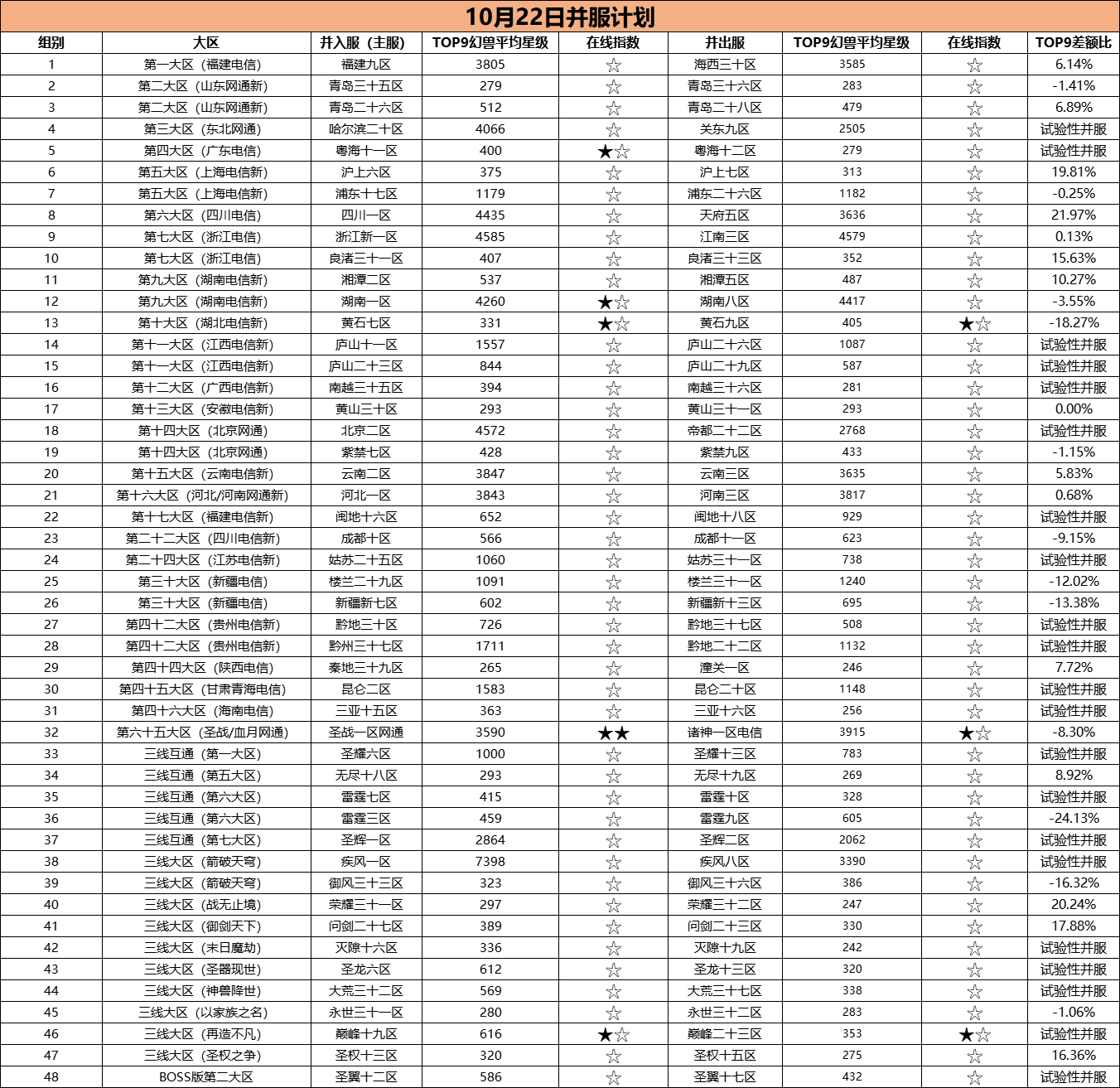
  2025年10月并服筛选规则:

  一、基础条件(需要全部满足)

  1、开服时间≥3个月;

  2、距离上一次并服≥3个月;

  3、并出服+并入服的在线指数总和≤10星(根据服务器在线热度计算,在线人数越多,指数越高)。

  二、筛选步骤(满足基础条件的前提下进行筛选)

  1、取2025年9月25日维护时,游戏内单个服务器幻兽星级排行榜前9名的幻兽数据,计算出单个服务器前9只幻兽星级的平均值;

  2、将同一大区下的服务器进行两两比对,筛选出差额比例小于25%(正负25%)的服务器组合进行并服;

  差额比例计算公式:(并入服TOP9幻兽星级平均值/并出服TOP9幻兽星级平均值)-1

  注:本月为使用TOP9幻兽平均星级差距值筛选服务器进行试验性并服,后续将根据本次情况进行调整。同时,官方将视服务器具体实际情况进行选择性并服。

  现将2025年10月份并服计划公布如下,如有异议请于本公告首次发布起7日内拨打客服电话或前往客服中心gm.99.com进行反馈;同时,您也可登录游戏通过卡城NPC并服调查特使·罗迪(262,516)前往【并服反对】活动页面提交意见噢!

      并服预告不代表最终情况, 每月并服前将参考玩家反馈意见,视情况对并服计划进行相应调整,最终以并服完成公告为准。

(10月15日并服计划,点击可查看大图)

(10月22日并服计划,点击可查看大图)

大家还在看